according to this diagram what is tan 74

3 Show answers Another question on Mathematics. Find a few additional points.


Consulting Services Capability Development Kepner Tregoe

Here we tell you what tan 74 degrees is There are 2 different ways that you can enter.

. 16 point so we know cos theta equal equal base upon hypotenuse or for base. To graph tangent find two consecutive vertical asymptotes and the x-intercept between them. Start studying Unit 9- Pythagorean Theorem and Converse Unit 9- Right Triangle Trigonometry Ratios.

Written by Solutionlogy Math. Since tan is opposite over adjacent the answer is 247. Hi friends tan 74 sin 74cos 743487.

Therefore the value of tan74 is 247. According to this diagram what is cos 23 ile ilişkili işleri arayın ya da 21 milyondan fazla iş içeriğiyle dünyanın en büyük serbest çalışma pazarında işe alım yapın. Tan is short for tangent.

3 on a question. According to this diagram what is tan 62. Search for jobs related to According to this diagram what is tan 67 or hire on the worlds largest freelancing marketplace with 21m jobs.

According to this diagram what is tan 7474 25 7 16 90 24 O A. Free math problem solver answers your algebra geometry trigonometry calculus and statistics homework questions with step-by-step explanations just like a math tutor. 7 Tan 74 342 Hence the value of tan 74 according to the given diagram is 342 o.

74 o 7 24 16 o 25 90 o B A C Answer The value of tan 74 according to the given diagram. Sketch this information to show one cycle of the graph. VIDEO ANSWERSo this is given diagram so we have to find value of cos.

XA Question 11 of 25 According to this diagram what is tan 74. 74 25 16 90 24 O A 24 B. For angle 74 perpendicular is the opposite sides and base is another leg.

A 1715 B 817 C 1517 D 815 E 178 F 158 Answers. We can write adjacent upon. You can read 40 pages according to this diagram what is tan 74 analysis in.

According To This Diagram What Is Tan 74 22 Pages Summary in Doc 28mb - Latest Update. Learn vocabulary terms and more with flashcards games and other study tools. Below is the best information and knowledge about according to this diagram what is tan 74 compiled and compiled by the vozzvn team along with other related topics such as.

Its free to sign up and bid on jobs. We have a right triangle so we can use the trigonometric relation. According to this diagram what is tan 74.

Tanx opposite cathetusadjacent cathetus. For the given right triangle we have that the adjacent.


A Novel Detection Method For Organophosphorus Insecticide Fenamiphos Molecularly Imprinted Electrochemical Sensor Based On Core Shell Co3o4 Mof 74 Nanocomposite Sciencedirect


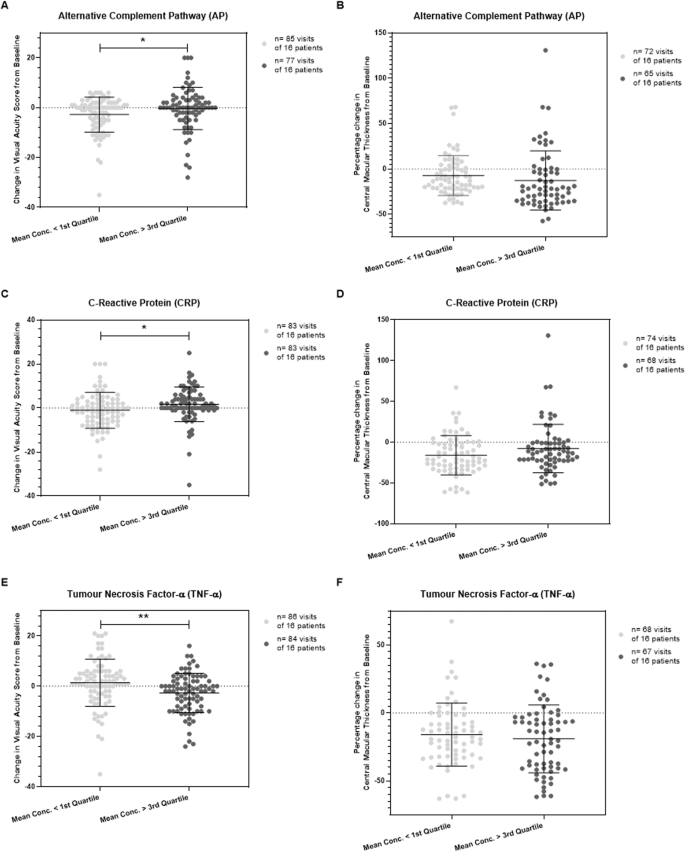
The Effect Of Systemic Levels Of Tnf Alpha And Complement Pathway Activity On Outcomes Of Vegf Inhibition In Neovascular Amd Eye


List Of Trigonometric Identities Wikipedia


Solving Neurodegeneration Common Mechanisms And Strategies For New Treatments Molecular Neurodegeneration Full Text


Structural And Electronic Properties Of M Mof 74 M Mg Co Or Mn Sciencedirect


Increasing Catalyst Efficiency In C H Activation Catalysis Gensch 2018 Angewandte Chemie International Edition Wiley Online Library


Recent Progress In External Stimulus Responsive 2d Covalent Organic Frameworks She 2022 Advanced Materials Wiley Online Library


Proton Coupled Electron Transfer Guidelines Fair And Square Journal Of The American Chemical Society


A Multimodal Psychological Physiological And Behavioural Dataset For Human Emotions In Driving Tasks Scientific Data


Community Correlates Of Change A Mixed Effects Assessment Of Shooting Dynamics During Covid 19 Plos One


Solved Hellpo According To This Diagram What Is Tam 74 Degrees 4 0 0 E 2 0 5 0 C 4 0 B 0 A 5 24 06 25 748 According To This Diagram What Is Tan 748 2 Points Question 18 Of 25 443 Test Cst Trigonometry


Two Boson Quantum Interference In Time Pnas


Wpa Authentication Times Out Failed Every Now And Then But After Some Time Succesfull Business Community


According To This Diagram What Is Tan 67 It S A Right Triangle Facing Left Hypotenuse Brainly Com


Cardiovascular Disease In Chronic Kidney Disease Circulation


Meta Analysis Results Of Quality Of Life Qol According To The Download Scientific Diagram


Polarizable Force Fields For Co2 And Ch4 Adsorption In M Mof 74 The Journal Of Physical Chemistry C

Iklan Atas Artikel

Iklan Tengah Artikel 1

Iklan Tengah Artikel 2

Iklan Bawah Artikel